地球自转一圈大概是多长时间,地球自转一圈是一天,公转一圈是一年。如果反过
地球自转一圈大概是多长时间,地球自转一圈是一天,公转一圈是一年。如果反过来地球会怎么样?
地球自转一圈是一天,公转一圈是一年如果反过来地球会怎么样
你这个问题是脑筋急转弯啊!等我脑补一下再来回答你。

地球自转一圈要23小时56分4秒,而一天24小时,还有3分56秒去哪了
24时是中国地理书上所说的「太阳日」,是地球的同一个位置对着太阳转一周所需时间;而23时56分4秒是「恒星日」,即地球自转一圈所需要的时间。两个「日」差3分56秒,四年1461天(365+365+365+366[加其中一年闰年])合计差344796秒,344796÷4(年)÷60(分)÷60(秒)=24(小时),这一天就放在二月里。而我们是用「太阳日」在地球生活,所以每天到达零时地球刚好对着太阳转完一周,不会有你所说的。

地球24小时左右自转一圈,那么时速相当于1666千米,人为什么不会被甩出去
谢邀。
地球绕着自转轴在旋转,在赤道那里的自转线速度最快。地球的半径为6371公里,地球每隔24小时自转一周,由此可以计算出地球赤道的线速度约为1668公里/小时,即463米/秒。既然赤道的线速度这么快,为什么那里的人不会被甩出去呢?

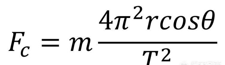
原因就在于地球的自转速度还不够快,地球的引力会拉住地球表面上的人,从而使他们不会被甩到太空中。根据牛顿力学,地球自转产生的“离心力(Fc)”为:

上式中,m为物体的质量,r为地球半径,θ为纬度,T为地球自转周期。
假设一个人的质量为60公斤,并且他站在地球赤道上(海平面),那么,由于地球自转产生的“离心力”为2牛。
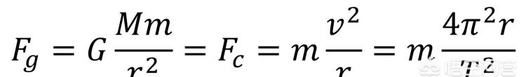
另一方面,根据万有引力定律(Fg=GMm/r^2),地球对于60公斤的人所施加的引力约为589牛,这要远大于“离心力”。因此,地球上的人不会飞到空中。

那么,地球的自转速度需要达到多快,赤道上的人才会被甩到空中呢?
可以想象,地球的自转速度越快,产生的“离心力”越大,直到它最终超过引力时,地球引力就无法束缚住赤道上的人。因此,人就会飞到空中,不断绕着地球做圆周运动,地心引力刚好充当向心力。由此可以得到如下公式:

代入数据,可以计算出,地球的赤道线速度约为7.9公里/秒。事实上,此时的地球赤道线速度正是第一宇宙速度。在这种情况下,地球只要大约1.4小时的时间就能绕着自转轴旋转一周。此时也只有赤道上的人和物体会被甩入空中,而纬度较高的地区,自转速度较慢,引力可以束缚住那里的人和物体。
地球自转一次要24小时,如果我们离开地面100米不动,12小时后会不会到地球的另一边呢
看到这个问题大家是不是也会这样想,既然地球是在转动的,那么我们在房间里跳起来会不会撞到墙上呢?很显然我们没有因为跳起来而撞到墙上。
地球每24小时自转一圈,这个速度有多快呢?我们可以计算一下。如果是在地球的赤道上,这个速度大约是每小时1667公里,即每秒钟463米。可以看出,地球赤道上的自转速度非常的快,它在以超音速自转,而且还是声音在空气中传播速度的1.36倍。

图示:地球的自转
我们生活在地球上,因此我们跟着地球一起高速转动。为什么我们感觉不到地球在转动,以为地球是静止的呢?这因为参照物的原因,我们以地球为参照物,就不会觉得地球在转动了。这个道理很简单。举个例子,我们一列匀速行驶的火车带着我们去旅行,我们在车厢中是感觉不到火车在向前方高速前进的。如果我们向窗外望去,就会看到外面的树木都向着火车运动相反的方向跑去。难道是树木长了腿会跑了吗?当然不是这样的,是因为我们以火车为参照物,认为火车是不动的,那么车厢外面的树木自然就动起来了。

图示:以行驶的火车为参照物,树木是运动着的
我们跟随着地球高速转动着,即使我们离开了地面到100米的高空中不动,由于惯性的原因我们还是具有和地球相同的速度的。因此不可能因为我们不接触地面了,地球就不带着我们一起转动了。这道理也很好理解。我们可以想象着自己乘坐热气球升到了空中,如果没有风的影响,热气球应该是悬停在空中不动的。这样我们在空中停留12小时会怎样呢?我们到了地球另一边了吗?很明显没有。生活常识就告诉我们这种设想是不可能成立的。

图示:乘坐热气球悬停在空中,12小时候并没有到达地球另一边
如果问题的假设成立的话,那这个世界就充满了危险。在天空中乘坐热气球一不小心就出国了。这还好说,大不了在天空中再悬停12个小时就又回到原点了。但是如果我们在地上跳一跳的话可能就要悲剧了。假设跳起来需0.1秒钟的时间,那么地球在我们跳起来的一瞬间转过去了46米。你很可能会发现一面墙向你迎面而来。
如果假设成立的话,你还敢乱跳吗?
-
- 020是哪里的区号,020是哪里的区号
-
2023-09-25 20:15:23
-
- 煮鸡蛋要几分钟,煮鸡蛋开锅几分钟就熟了?
-
2023-09-25 20:13:18
-
- 圆明园被烧的时间,火烧圆明园是哪一年
-
2023-09-25 20:11:13
-
- 娱乐圈42事件内容,唐艺昕是什么意思?
-
2023-09-25 20:09:08
-
- 什么是bios,BIOS是什么东西
-
2023-09-25 20:07:03
-
- 年夜饭什么时候吃,为什么现在年夜饭放到了下午或傍晚吃,而不是午夜吃?
-
2023-09-25 20:04:58
-
- 什么叫正太,什么叫做小正太啊?
-
2023-09-25 09:33:22
-
- 邛崃美食,邛崃有什么特色的餐饮美食?
-
2023-09-25 09:31:17
-
- 汽车发动机原理,汽车发动机工作原理
-
2023-09-25 09:29:12
-
- 胚布是什么布,白坯布和白胚布区别
-
2023-09-25 09:27:07
-
- 鳗鱼头能吃,鳗鱼头能吃吗
-
2023-09-25 09:25:03
-
- 可乐开了可以放多久,2l可乐开了可以放多久?
-
2023-09-25 09:22:58
-
- 交通三要素是指,沟通的三要素是指哪三要素
-
2023-09-25 09:20:53
-
- 灰姑娘的作者是谁,童话《灰姑娘》的作者是谁?
-
2023-09-25 09:18:48
-
- 黑枸杞保质期一般是多久,黑枸杞保质期一般是多久
-
2023-09-25 09:16:43
-
- 河源特产五指毛桃鸡爪,五指毛桃焗鸡脚的做法
-
2023-09-25 09:16:18
-
- 阜阳游乐场有哪些,阜阳哪儿有游乐场
-
2023-09-25 09:14:38
-
- 高考成功祝福语 简短,祝福孩子高考成功的话简短励志祝福语
-
2023-09-25 09:14:12
-
- 干电池有几种型号,干电池型号怎么规定的
-
2023-09-25 09:12:07
-
- 车里进苍蝇怎么驱赶,车里进苍蝇怎么赶出去
-
2023-09-25 09:10:02



农村40万存款算穷吗
ins什么意思,女生ins是什么意思?