回归直线方程公式详解
回归直线方程公式详解
高中坚至王候即卷丰急视标数学函数中要学到回归直线方程,看一下回归直线方程公式来自详解吧。

材料/工具
回归直线方程
方法
先了解一下回归直线的原理。如果散点图中点的分布从整体看大致在一条直线附近,就称这两个变量之间具有线性相关关系,这条直线叫做回归直线。

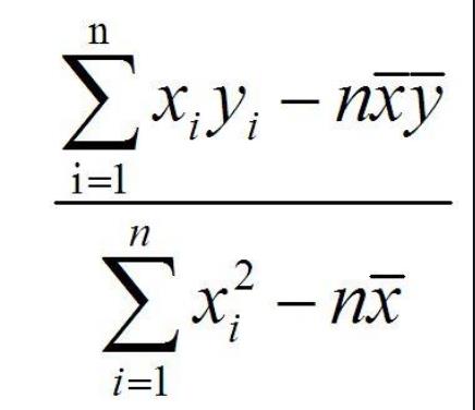
律油女决先求 x、y 的平均数 x_=(3+4+5+6)/4=9/2,y_=(2.5+3+4+4.5)/4=7/2,然后求对应的 x、y 的乘积之和 :3*2.5+4*3+5*4+6*4.5=66.5 ,x_*y_=63/4 ,接着计算 x 的平方之和:9+16+25+36=86,x_^2=81/4 ,现在可以计算 b 了:b=(66.5-4*63/4) / (86-4*81/4物)=0.7 ,而 a=苏官y_-bx_=7/2-0.7*9/2=0.35 ,所以回归直线方程为 y=bx+a=0.7x+0.35 。

还可用最小二乘法:总离差不能用n个离差之和来表示,通常是用离差的平方和,即7a6431333366303162作为总离差,并使之达到最小,这样回归直线就是所有直线中Q取最小值的那一条,这种使“离差平方和最小”的方法,叫做最小二乘法。

由于绝对值使得计算不变,在实际应用中更喜欢用:Q=(y1-bx1-a)²+(y2-bx2-a)²+······+(yn-bxn-a)²,当a,b取什么值时Q最小,即到点直线y=bx+a的“整体距离”最小。

-
- 欢乐斗地主怎么和好友一起玩
-
2024-04-19 08:03:10
-
- 电脑怎么截屏
-
2024-04-19 08:01:05
-
- 电脑玩游戏卡怎么办
-
2024-04-19 07:59:00
-
- win10怎么取消登录密码
-
2024-04-19 07:56:55
-
- gta5配置要求
-
2024-04-19 07:54:50
-
- 64位系统下,安装64位CAD2008+天正2014
-
2024-04-19 07:52:45
-
- 西湖龙井茶的三种泡法
-
2024-04-19 07:50:40
-
- 电脑什么浏览器最好用
-
2024-04-19 07:06:08
-
- 电脑检测不到u盘怎么办
-
2024-04-19 07:04:03
-
- 地下城与勇士安装不了,DNF安装失败的解决方法
-
2024-04-19 07:01:58
-
- 爱淘宝和淘宝有什么不同
-
2024-04-19 06:59:53
-
- 英雄联盟lol体验服怎么进
-
2024-04-19 06:57:48
-
- 如何设置3D渲染参数
-
2024-04-19 06:55:44
-
- 如何配置君子兰营养土
-
2024-04-19 06:53:39
-
- 如何把优酷超清kux转换为普通视频格式
-
2024-04-19 06:51:34
-
- 工商局公司档案调档
-
2024-04-19 06:49:29
-
- 高德地图离线包下载和安装
-
2024-04-19 06:47:24
-
- 火锅配菜有哪些
-
2024-04-19 05:11:47
-
- 海带的功效与作用
-
2024-04-19 05:09:41
-
- 如何用虎牙直播在电脑上直播游戏
-
2024-04-19 05:07:36



农村40万存款算穷吗
ins什么意思,女生ins是什么意思?